1697 문제 링크
https://www.acmicpc.net/problem/1697
문제 설명

입출력

코드
|
1
2
3
4
5
6
7
8
9
10
11
12
13
14
15
16
17
18
19
20
21
22
23
24
25
26
27
28
29
30
31
32
33
34
35
36
37
38
39
40
41
42
43
44
45
46
47
48
49
50
51
52
53
|
import java.io.*;
import java.util.*;
public class Main {
static int N,K;
static boolean[] visit;
static int[] move = {1, -1, 2};
static int MAX = 100001;
public static void main(String[] args) throws IOException {
BufferedReader br = new BufferedReader(new InputStreamReader(System.in));
BufferedWriter bw = new BufferedWriter(new OutputStreamWriter(System.out));
StringTokenizer st = new StringTokenizer(br.readLine());
N = Integer.parseInt(st.nextToken());
K = Integer.parseInt(st.nextToken());
visit = new boolean[MAX];
bw.write(String.valueOf(bfs()));
bw.flush();
}
private static int bfs() {
visit[N] = true;
int count = 0;
Queue<Integer> queue = new LinkedList<>();
queue.offer(N);
while (!queue.isEmpty()) {
int size = queue.size();
for (int i = 0; i < size; i++) {
int current = queue.poll();
if (current == K) {
return count;
}
for (int j = 0; j < 3; j++) {
int nN = (j == 2) ? current * move[j] : current + move[j];
if (nN >= 0 && nN < MAX && !visit[nN]) {
visit[nN] = true;
queue.offer(nN);
}
}
}
count++;
}
return -1;
}
}
|
cs |
알고리즘 설명
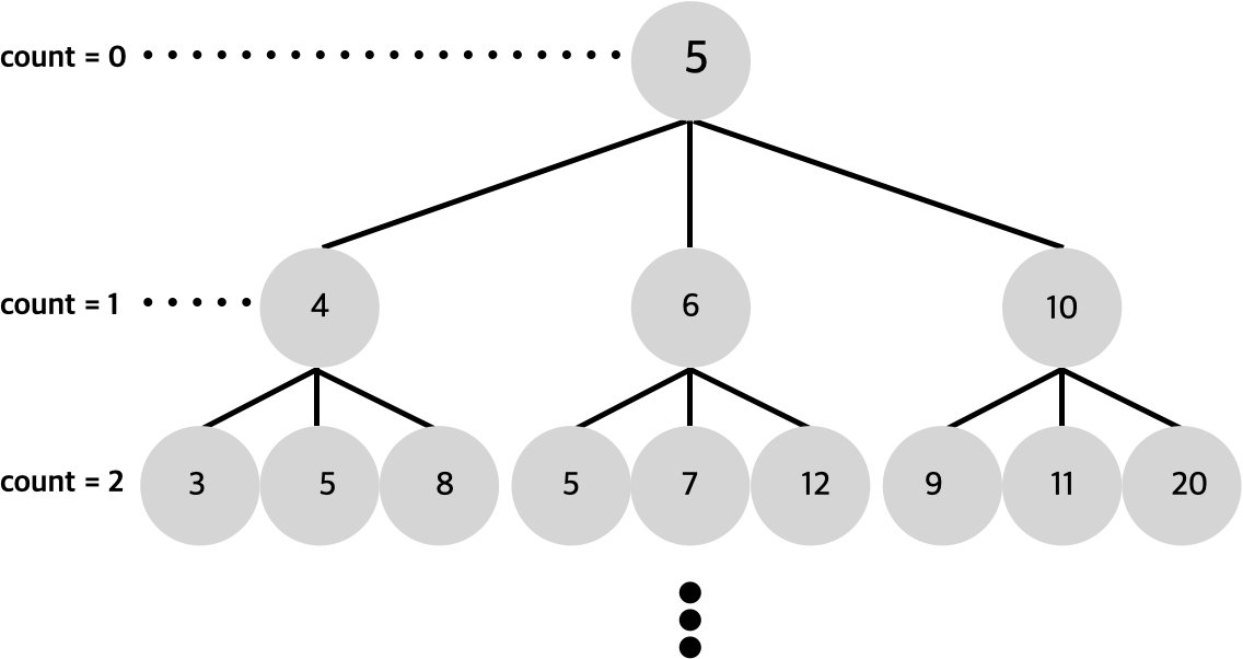
BFS 알고리즘의 기본은 큐의 형태를 띄고 있습니다. 1초를 간격으로 poll()된 맨 앞의 원소가 갈 수 있는 세 가지의 경우를 레벨화 해놓고 생각하면 쉽게 풀 수 있습니다. 초를 count로 설정하고, 반복문이 어떻게 들어가는지 그림으로 보시겠습니다.

그림처럼 해당 숫자의 -1, +1, x2 각 세가지의 조건으로 중복되지 않는 숫자가 큐에 들어옵니다. 예를 들면 count=1 에서는 [4,6,10]
count=2에서는 [3,8,7,12,9,11,20]처럼 말이죠. 이렇게 count를 늘려가면서 처음 K를 찾는다면 해당 count가 K를 찾을 수 있는 최단 시간이라는 것을 알 수 있습니다. 어렵게 설명하기보다는 직관적으로 그래프를 그리는 것이 이해에 도움이 될것이라고 생각했습니다 :)

코드 해석
visit[] 배열을 사용해 방문 여부를 체크하고, N에서 시작해 큐에 넣습니다. 큐에서 하나씩 꺼내어 +1, -1, *2를 시도하며, K에 도달하면 바로 탐색을 종료하고 그때까지의 횟수를 출력합니다. 각 레벨마다 큐의 크기만큼 반복문을 돌며 가능한 모든 위치로 이동합니다. K에 도달하면 그때까지의 이동 횟수를 반환합니다.
삼항연산자에 주의하여 코드를 확인하시면 좋을것 같습니다. 이번 문제는 삼항연산자로 코드의 길이가 대폭 줄어들었습니다.
'알고리즘 > 백준' 카테고리의 다른 글
| 백준 16928 뱀과 사다리 게임 - JAVA (1) | 2025.02.14 |
|---|---|
| 백준 1927 최소 힙 - JAVA (1) | 2025.02.13 |
| 백준 1012 유기농 배추 - JAVA (1) | 2025.02.05 |
| 백준 1920 수 찾기 - JAVA (1) | 2025.02.04 |
| 백준 2667 단지번호붙이기 - JAVA (1) | 2025.02.03 |
